ВАКСОН
+7(499)300-99-03
+7(499)300-99-03
Написать в WhatsApp
г. Москва, Саратовская улица 8/1
Войти
Статьи
Как купить
  • Условия оплаты
  • Условия доставки
  • Возврат и обмен
Компания
  • Сотрудники
Контакты
+  ЕЩЕ
    Сравнение0
    Отложенные 0
    Корзина 0
    Каталог
    • Высоковольтное и щитовое оборудование
      Высоковольтное и щитовое оборудование
    • Генераторы электроэнергии и элементы питания
      Генераторы электроэнергии и элементы питания
    • Изделия для электромонтажа
      Изделия для электромонтажа
    • Инструменты, техника
      Инструменты, техника
    • Кабеленесущие системы
      Кабеленесущие системы
    • Кабели, провода и аксессуары
      Кабели, провода и аксессуары
    • Климатические и инженерные системы
      Климатические и инженерные системы
    • Низковольтное и промышленное электрооборудование
      Низковольтное и промышленное электрооборудование
    • Освещение
      Освещение
    • Связь, телекоммуникации
      Связь, телекоммуникации
    • Устройства и средства безопасности
      Устройства и средства безопасности
    • Электроустановочные изделия
      Электроустановочные изделия
    • Коммуникационная техника/Компоненты и системы
    • Линии электропередач (ЛЭП)
    • Системы распределения высокого напряжения
    • Системы распределения электроэнергии/распределительные устройства
    • Системы электрических распределительных шкафов
    • Электрические распределительные системы (в том числе электроустановочное оборудование)
    • Батарейки, аккумуляторы, зарядные устройства
    • Арматура кабельная/Изоляционные материалы
    • Изделия крепежные
    • Колодки клеммные
    • Материалы для подключения
    • Бытовая техника мелкая
    • Инструмент ручной
    • Инструменты для опрессовки, резки, снятия изоляции
    • Контрольно-измерительные приборы
    • Оборудование паяльное и сварочное
    • Рабочая одежда, охрана труда
    • Электроинструменты и аксессуары для них
    • Аксессуары для прокладки кабеля питания/ кабеля для передачи данных
    • Аксессуары кабельных лотков монтажные
    • Держатель трубы/кабеля кабеленесущей системы
    • Деталь крепежная для несущих и и профильных реек
    • Заглушка для кабельных лотков
    • Зажим для крышки системы поддержки кабелей
    • Каналы настенного и потолочного монтажа
    • Короба кабельные
    • Кронштейны
    • Крышка для кабельных лотков
    • Крышка Т-образной секции для кабельного лотка
    • Крышка угловой секции кабельных лотков
    • Лоток кабельный
    • Ответвление Т-образное для кабельных лотков
    • Переходник для кабельных лотков
    • Пластина монтажная для кабельного лотка
    • Разделитель для лотка
    • Рейки профильные конструкционные/несущие
    • Секция для кабельного лотка
    • Системы защиты шланговые
    • Системы скрытой проводки под полом
    • Системы, препятствующие распространению огня, огнестойкие кабель-каналы
    • Соединитель для кабельных лотков
    • Соединитель для несущих и и профильных реек
    • Устройства оптической и акустической сигнализации
    • Электроизоляционные трубы/Трубы для защиты кабеля
    • Кабели
    • Материал монтажный
    • Провода
    • Системы ввода для кабелей и проводов
    • Двигатели ворот, рольставен/Насосы/Вентиляторы
    • Котлы и обогреватели
    • Отопительные приборы/Технологические и инженерные системы
    • Датчики/сенсоры
    • Оборудование низковольтное
    • Реле
    • Устройства защиты, плавкие предохранители, модульные устройства/монтажные устройства
    • Учетная техника
    • Аппаратура пускорегулирующая
    • Лампы
    • Осветительные аксессуары
    • Светильники
    • Антенны и спутниковые технологии
    • Изделия монтажные для коммуникационных сетей
    • Системы пожарной, охранной сигнализации и системы аварийного оповещения
    • Соединители для шлангов и рукавов
    • Устройства безопасности
    • Устройства заземления, молниезащиты и защиты от перенапряжений
    • Адаптер переходный для электроустановочных устройств
    • Аксессуары для электроустановочных устройств
    • Блок "Выключатель-розетка"
    • Блок розеток, удлинитель
    • Вилка/розетка без защитного контакта
    • Вилки, розетки бытовые
    • Вилки, розетки и устройства промышленные и специальные
    • Вставки, крышки
    • Выключатели, переключатели
    • Датчик движения комплектный
    • Диммер
    • Корпуса и монтажные коробки
    • Материалы монтажные для маркировки
    • Механизм датчика движения
    • Переключатель кнопочный миниатюрный
    • Таймеры и реле
    • Электропитание USB
    • Дверной громкоговоритель
    • Знак безопасности/Предупреждающий знак
    • Кнопка дверного звонка
    • Арматура для неизолированных проводов
    • Арматура для самонесущих изолированных проводов (арматура СИП)
    • Арматура линейно-сцепная
    • Изоляторы для ЛЭП
    • Металлоконструкции и опоры для ЛЭП
    • Арматура для проводов линии электропередач
    • Высоковольтное коммутационное оборудование
    • Высоковольтные изоляторы
    • Аксессуары для шинопровода
    • Блок клеммной колодки распределительный
    • Блок распределительный с силовым выключателем
    • Блок/ящик выключателя с плавкими предохранителями
    • Держатель шины
    • Заземляющая шина для распределительного щита
    • Кабельные направляющие для шкафов
    • Магистральная клеммная колодка
    • Маркер/Спрей краска
    • Панель монтажная для распределительного щита
    • Распределительный блок сборных шин
    • Система блокировки для системы распределительного шкафа
    • Система крепления для шинопровода
    • Аксессуары для стойки распределительного шкафа
    • Вентилятор распределительного шкафа
    • Карман распределительного шкафа для схем и документов
    • Компоненты для заземления/уравнивания потенциалов распределительного шкафа
    • Компоненты для распределительных шкафов
    • Крышка/глухая дверь/полоса маркировки распределительного шкафа
    • Обогрев распределительного шкафа
    • Окно распределительного шкафа
    • Панели распределительных шкафов
    • Принадлежности монтажные распределительного шкафа
    • Профиль распределительного шкафа
    • Распределительный шкаф пустотелый
    • Телекоммуникационный шкаф
    • Термостат распределительного шкафа
    • Аксессуары для небольших распределительных панелей
    • Корпус пустотелый
    • Крышка модулей для измерительных/распределительных щитков
    • Малогабаритный распределительный щиток в сборе
    • Панель монтажная для распределительных щитков
    • Распределительный щиток для стройплощадки
    • Щит вводный кабельный
    • Щиток распределительный малогабаритный
    • Щиток учета пустотелый
    • Батарея аккумуляторная
    • Гальванический элемент
    • Сетевой шнур питания
    • Универсальное зарядное устройство
    • Гильзы соединительные
    • Заглушка термоусадочная концевая
    • Зажим соединительный, ответвительный
    • Муфта кабельная концевая
    • Муфта кабельная соединительная
    • Набор термоусадочных трубок
    • Наконечники, зажимы
    • Перчатка термоусаживаемая
    • Пружина постоянного давления
    • Разъем слаботочный
    • Рукав ремонтный термоусадочный
    • Сжим ответвительный, ответвитель
    • Система маркировки кабеля
    • Скотч и изоляционная лента
    • Спрей
    • Трубка термоусадочная
    • Трубки изоляционные, кембрики
    • Анкера
    • Болты
    • Винтовая заклепка
    • Втулка изолирующая
    • Гайки
    • Герметик, монтажная пена
    • Дюбеля
    • Зажим винтовой Гофмана
    • Клей
    • Крюк L-образный
    • Крюки, кронштейны
    • Лента монтажная
    • Основание монтажное для кабельных стяжек и элементов
    • Саморезы и шурупы
    • Хомут кабельный (стяжка)
    • Шайбы
    • Шпилька резьбовая
    • DIN-рейка, G-рейка
    • Клеммная колодка с предохранителем
    • Нулевая шина
    • Одно-многополюсная клеммная колодка
    • Перегородка концевая и разделительная для клеммной колодки
    • Проходная клеммная колодка
    • Соединитель клеммной колодки
    • Торцевой фиксатор
    • Аксессуары для распределительных коробок/корпусов для монтажа в стене и в потолке
    • Клемма соединительная безвинтовая
    • Коробка клеммная
    • Крышка для распределительной коробки/корпуса для монтажа в стене и в потолке
    • Распределительная коробка/корпус для монтажа в стене и в потолке
    • Распределительная коробка/корпус для монтажа на стене и на потолке
    • Машинки для стрижки волос
    • Электрическая плитка
    • Электрический чайник
    • Газовая горелка
    • Губцевый инструмент
    • Измерительные инструменты
    • Инструменты для прокладки кабеля
    • Лепестковый шлифовальный круг
    • Лестница, лазы
    • Маркер
    • Набор инструментов
    • Набор разметочного шнура
    • Навесной замок
    • Отвертки
    • Перфоратор
    • Пистолет для картриджей
    • Приспособления для хранения
    • Разматывающее устройство для катушек с кабелем/Станки кабельные
    • Расходные материалы для ручных инструментов
    • Резак для труб
    • Рукоятки для съема предохранителей
    • Инструмент для опрессовки кабельных наконечников, оконцевания проводов, присоединения экрана
    • Инструмент для снятия изоляции кабельный
    • Нож кабельный
    • Резак кабельный
    • Специальный инструмент для телекоммуникационных технологий
    • Аксессуары для измерительных приборов
    • Измерительное-/испытательное оборудование для телекоммуникационной технологии
    • Индикатор низкого напряжения
    • Клещи токоизмерительные
    • Контрольный стержень
    • Мультиметр
    • Набор измерительных инструментов
    • Горелка газосварочная
    • Жало паяльника
    • Материалы для сварки
    • Набор паяльный
    • Отсос для припоя
    • Паяльник электрический
    • Подставка для паяльника
    • Припойная проволока
    • Флюс-гель
    • Коврик диэлектрический
    • Перчатки защитные
    • Дрели и шуруповерты
    • Паяльный пистолет
    • Расходные материалы для инструментов
    • Термоклеевой пистолет (электрический)
    • Удлинитель кабельный на катушке/барабане
    • Фен технический
    • Заглушки и крышки
    • Зажим кабельный для настенного кабель-канала
    • Кабель-канал
    • Кабель-канал напольный
    • Кабель-канал настенный (парапетный)
    • Коробка для кабеля
    • Панель лицевая для настенного кабель-канала
    • Перегородка разделительная для настенного кабель-канала
    • Переходник для кабель-канала
    • Рамка для ввода настенного кабель-канала в стену/потолок/щит
    • Соединители для кабель-канала
    • Углы и повороты
    • Короб распределительный щелевой
    • Кронштейн для кабельного лотка
    • Настенный и потолочный кронштейн для кабельного лотка
    • Настенный кронштейн для кабельных лотков
    • Потолочный кронштейн для системы прокладки кабеля
    • Лоток кабельный лестничный
    • Лоток кабельный листовой
    • Лоток кабельный проволочный
    • Секция Т-образная для кабельного лотка
    • Секция угловая для кабельных лотков
    • Зажим винтовой для металлических защитных рукавов
    • Пластиковый защитный рукав
    • Рукав защитный металлический
    • Спираль монтажная, рукав для объединения кабелей в жгут
    • Труба гофрированная пластиковая
    • Уплотнительное кольцо
    • Коробка монтажная
    • Огнезащитное покрытие/обшивка
    • Звонок громкого боя
    • Звонок электрический
    • Оптическое/акустическое сигнальное устройство
    • Светильник с постоянным светом
    • Сирена электронная
    • Заглушка трубы для электропроводки
    • Колено трубы для электропроводки
    • Пластиковая труба для электропроводки
    • Сигнальная лента
    • Соединительные муфты
    • Стальная труба для электропроводки
    • Тройник трубы для защиты кабеля
    • Труба для прокладки в земле
    • Угол трубы для электропроводки
    • Кабели связи, телефонные, телекоммуникационные
    • Кабель высокого напряжения
    • Кабель гибкий
    • Кабель гибридный
    • Кабель коаксиальный
    • Кабель контрольный
    • Кабель охранно-пожарной сигнализации
    • Кабель силовой
    • Зажим балочный
    • Зажим для монтажа ленты/троса
    • Зажим/Клипса для крепления труб
    • Направляющая кабеля
    • Скоба крепежная
    • Скоба с гвоздем
    • Соединитель провода
    • Стальная проволока
    • Провод акустический
    • Провод неизолированный
    • Провод одножильный
    • Провод плоский для внутренней электропроводки
    • Провод самонесущий изолированный для воздушных линий электропередачи
    • Провод установочный
    • Ввод кабельный/сальник
    • Контргайка для кабельного ввода
    • Уплотнитель для кабельного разъема
    • Аксессуары для электродвигателя
    • Внутренний вентилятор для ванных комнат и кухонь
    • Электродвигатель
    • Тепловентилятор
    • Аксессуары для нагревательных кабелей
    • Датчик температуры для отопительных приборов
    • Завеса тепловая
    • Конвектор электрический
    • Контроллер температуры в помещении
    • Набор для нагревательных кабелей
    • Нагреватель инфракрасный
    • Нагреватель/тепловентилятор
    • Нагревательный кабель
    • Нагревательный мат
    • Осушитель/Увлажнитель/Очиститель воздуха
    • Радиатор (электрический)
    • Сушилка для рук
    • Терморегулятор комнатный
    • Термостат с таймером
    • Выключатель концевой
    • Датчик фотоэлектрический
    • Емкостной датчик приближения
    • Поплавковый выключатель
    • Аксессуары для аппарата цепи управления
    • Аксессуары для низковольтных коммутационных аппаратов
    • Арматура светосигнальная
    • Выключатели, рубильники, разъединители
    • Изоляторы низковольтные
    • Кнопки, переключатели
    • Корпус постов для установки аппаратов управления и сигнализации
    • Переходник на DIN рейку
    • Пост кнопочный в сборе
    • Потенциометр для аппарата цепи управления
    • Разделитель фаз для автоматических выключателей
    • Распределительные устройства
    • Расцепитель минимального напряжения
    • Стабилизаторы напряжения
    • Трансформаторы
    • Устройства защиты, предохранители
    • Устройства управления электродвигателями
    • Устройства электропитания
    • Устройство управления и защиты двигателя электронное
    • Шина
    • Аксессуары для коммутационного реле
    • Реле времени
    • Реле времени модульное для распределительных щитов
    • Реле времени цифровое
    • Реле импульсное
    • Реле коммутационное
    • Реле контроля температуры
    • Реле контроля тока
    • Реле контроля уровня/заполнения
    • Реле контроля фаз
    • Реле направления мощности
    • Реле напряжения
    • Реле тепловое
    • Розетка-реле
    • Аксессуары для ножевых плавких предохранителей
    • Амперметры
    • Вольтметры
    • Вспомогательное устройство для устройств распределительного щита (модульного оборудования)
    • Вставка цилиндрического предохранителя
    • Выключатель автоматический (пробка) резьбового присоединения
    • Выключатель автоматический дифференциального тока
    • Выключатель автоматический модульный
    • Выключатель сумеречный модульный для распределительных щитов
    • Выключатель/переключатель модульный для распределительного щита
    • Держатель для цилиндрических предохранителей
    • Держатель низковольтного ножевого плавкого предохранителя
    • Звонок модульный для распределительных щитов
    • Индикатор световой модульный для распределительных щитов
    • Кнопка модульная для распределительных щитов
    • Миниатюрный плавкий предохранитель
    • Многофункциональный измерительный прибор
    • Плавкий предохранитель низковольтный ножевой
    • Пускатель магнитный модульный для распределительных щитов
    • Регулятор температуры модульный для распределительных щитов
    • Розетка модульная для распределительных щитов
    • Устройство блокировки для модульных выключателей
    • Устройство защитного отключения (УЗО)
    • Счетчики электроэнергии
    • Балласт
    • Драйвер светодиодный
    • Компонент системы управления освещением
    • Стартер/импульсно-зажигающее устройство (ИЗУ)
    • Трансформатор высоковольтного розжига
    • Трансформатор для низковольтной системы освещения/низковольтной галогенной лампы накаливания
    • Лампа галогенная
    • Лампа индикаторная и сигнальная
    • Лампа люминесцентная
    • Лампа люминесцентная компактная неинтегрированная
    • Лампа металлогалогенная
    • Лампа натриевая высокого давления
    • Лампа ртутная высокого давления
    • Лампа ртутно-вольфрамовая дуговая
    • Лампа светодиодная
    • Лампы накаливания
    • Аксессуары для опор освещения
    • Аксессуары для светильника
    • Аксессуары для светодиодной ленты/трубки
    • Блок автономный светильника аварийного освещения
    • Патрон ламповый
    • Пиктограмма для светильников
    • Столб/опора освещения
    • Шинопровод для освещения
    • Встраиваемые светильники
    • Лампа настольная
    • Линейные светильники
    • Настенно-потолочные светильники
    • Ночник
    • Освещение иллюминационное
    • Прожекторы
    • Светильник аварийного освещения
    • Светильник взрывозащищенный стационарный
    • Светильник для местного освещения станков
    • Светильник направленного света
    • Светильник переносной
    • Светильник пылевлагозащищенный
    • Светильник торшерный, столбик световой
    • Указатель световой
    • Уличные светильники
    • Фонари
    • Комнатная антенна
    • Ответвитель и разветвитель
    • Розетка антенная TV
    • Адаптер для системы связи
    • Аксессуары для ИБП
    • Защита кабеля от перегиба
    • Источник бесперебойного питания (ИБП)
    • Кабель компьютерный
    • Кабель соединительный медный (витая пара)
    • Коаксиальная соединительная муфта
    • Панель коммутационная медная
    • Разъем модульный
    • Разъем, штекер коаксиальный
    • Распределительная коробка для телекоммуникационной техники
    • Розетка медная коммуникационная (витая пара)
    • Телекоммуникационный разъем
    • Телекоммуникацонный соединительный кабель
    • Датчик газа
    • Датчик открытия для системы охранной сигнализации
    • Датчик технический для системы охранной сигнализации
    • Зуммер
    • Извещатель для системы пожарной сигнализации
    • Камера для системы видеонаблюдения
    • Система контроля доступа
    • Центральный пульт блокировки дверей
    • Хомут червячный для шланга
    • Кронштейн монтажный для переносного заземления
    • Переносное заземление
    • Указатель высокого напряжения
    • Штанга оперативная
    • Аксессуары для заземления и молниезащиты
    • Металлический проводник
    • Набор для заземления / молниезащиты
    • Устройства для молниезащиты
    • Устройства заземления
    • Устройства защиты от перенапряжений
    • Устройства защиты от перенапряжений для терминального оборудования
    • Шина уравнивания потенциалов
    • Кнопка нажимная
    • Основание для открытого монтажа
    • Переходник розетки мультистандартный
    • Рамка декоративная для электроустановочных устройств
    • Вилка с защитным контактом бытовая SCHUKO
    • Розетка кабельная для удлинителя
    • Розетка с заземлением стандарта SCHUKO
    • Розетка штепсельная
    • Вилка стандарта CEE кабельная
    • Разъем штепсельный круглый силовой
    • Розетка встроенная стандарта CEE
    • Розетка стандарта СЕЕ кабельная
    • Розетка стандарта СЕЕ накладного монтажа
    • Вставка/крышка для коммуникационных технологий
    • Корпус накладной для открытого монтажа электроустановочных устройств
    • Выключатель сумеречный (фотореле)
    • Реле времени механическое для электроустановочных устройств
    • Таймер электронный для электроустановочных устройств
    • Компоненты для сборки распределительного шкафа
    • Компоненты для транспортировки распределительного шкафа
    • Компоненты крепления проводов, кабельных вводов и фиксации кабеля распределительного шкафа
    • Дверь/панель управления распределительного шкафа
    • Панель вентиляционная для распределительного шкафа
    • Панель распределительного шкафа боковая/задняя
    • Гильза соединительная для алюминиевых проводников под опрессовку
    • Гильза соединительная для медных проводников под опрессовку
    • Гильза соединительная со срывными болтами
    • Гильза термоусадочная обжимная
    • Наконечник быстроразмыкаемый
    • Наконечник кабельный со срывными болтами
    • Наконечник кабельный трубчатый для медных проводников
    • Наконечник обжимной кабельный для алюминиевых проводников
    • Наконечник обжимной кабельный для медных проводников
    • Наконечник обжимной кабельный для медных проводников в соответствии с DIN 46236
    • Наконечник-гильза для медных проводников
    • Анкер болтовой
    • Анкер забивной
    • Анкер клиновой
    • Болт анкерный
    • Болт с полукруглой головкой и квадратным подголовком
    • Болт с шестигранной головкой
    • Гайка длинная
    • Гайка стопорная
    • Гайка шестигранная
    • Дюбель для полых стен
    • Дюбель резьбовой
    • Дюбель универсальный /вставка
    • Дюбель-гвоздь
    • Кронштейн для кабеля
    • Крюк с винтом
    • Саморез
    • Саморез по дереву
    • Саморез по металлу
    • Шайба
    • Шайба пружинная зубчатая
    • Шайба стопорная с лапкой
    • Клещи для зачистки проводов
    • Кусачки бокорезы
    • Пассатижи
    • Переставные плоскогубцы
    • Струбцина
    • Рулетка
    • Инструмент монтажный для кабельных стяжек
    • Система протяжки кабеля
    • Набор отверток
    • Бит для крестообразных винтов
    • Отвертка крестовая
    • Отвертка шлицевая
    • Ящик для инструментов
    • Лезвие ножа заменяемое
    • Ударная дрель (электрическая)
    • Шуруповерт (аккумуляторный)
    • Отрезной абразивный и шлифовальный диск
    • Сверло
    • Заглушка для кабель-канала
    • Заглушка для настенного кабель-канала
    • Крышка для настенного кабель-канала
    • Коробка монтажная для настенного кабель-канала
    • Коробка распределительная для систем кабель-каналов
    • Соединитель на стык для настенного кабель-канала
    • Соединитель/накладка на стык для кабель-канала
    • Поворот для кабель-канала
    • Поворот для настенного кабель-канала
    • Угол внешний для кабель-канала
    • Угол внешний для настенного кабель-канала
    • Угол внутренний для кабель-канала
    • Угол внутренний для настенного кабель-канала
    • Угол Т-образный для кабель-канала
    • Угол Т-образный для настенного кабель-канала
    • Муфта соединительная для электромонтажных труб
    • Муфта трубы для электропроводки
    • Соединительная муфта для труб защиты кабеля
    • Выключатель автоматический для защиты двигателя
    • Выключатель автоматический силовой
    • Выключатель нагрузки
    • Выключатель-разъединитель
    • Рукоятка управления силовым автоматическим выключателем
    • Держатель маркировочной пластины аппарата для цепи управления
    • Кнопка аварийного отключения в сборе
    • Кнопка нажимная в сборе
    • Передняя часть (головка) нажимной кнопки
    • Переключатель вольтметра
    • Переключатель для цепи управления, пакетный
    • Пульт подвесной управления в сборе
    • Управляющий переключатель в сборе
    • Элемент передний переключателя
    • Клемма шинная
    • Распределительный клеммный блок
    • Ящик с рубильником и предохранителем
    • Трансформатор однофазный силовой низковольтный
    • Трансформатор тока
    • Блок-линия разъединитель предохранитель
    • Гребенка распределительная
    • Комплект расширительных выводов
    • Контакт автоматического выключателя дополнительный
    • Ограничитель тока
    • Привод для силовых автоматических выключателей электрический
    • Расцепитель независимый
    • Комбинированный пускатель с электронным блоком управления
    • Контакт вспомогательный
    • Контактор/магнитный пускатель/силовое реле переменного тока (АС)
    • Модуль усилителя для контакторов
    • Преобразователь частоты низковольтный до 1 кВ
    • Источник питания переменного тока
    • Источник питания постоянного тока
    • Лампа галогенная низковольтная без отражателя
    • Лампа галогенная низковольтная с отражателем
    • Лампа галогенная сетевого напряжения без отражателя
    • Лампа галогенная сетевого напряжения с отражателем
    • Лампа накаливания в форме свечи
    • Лампа накаливания в форме шара
    • Лампа накаливания зеркальная
    • Лампа накаливания стандартная
    • Лампа накаливания трубчатая
    • Аксессуары для светильника механические
    • Аксессуары для светильника светотехнические
    • Светильник встраиваемый потолочный и настенный
    • Светильник для встраиваемого и поверхностного монтажа
    • Лента/полоса светодиодная
    • Светильник линейный реечного типа
    • Потолочный/настенный светильник
    • Светильник для высоких пролетов
    • Светильник накладной потолочный и настенный
    • Светильник настенно-потолочный
    • Прожектор переносной
    • Светильник направленного света/ прожектор/ даунлайт
    • Светильник для освещения улиц и площадей
    • Светильник подвесной
    • Фонарь взрывозащищенный карманный электрический
    • Фонарь карманный, ручной электрический
    • Держатель кровельный проводника для молниезащиты
    • Держатель проводника для молниезащиты
    • Плоский проводник для молниезащиты
    • Разрядник тока молнии для систем электроснабжения
    • Соединитель для молниезащиты
    • Стержневой молниеприемник для молниезащиты
    • Токоотвод для молниезащиты круглый
    • Зажим заземления
    • Зажим заземления трубы
    • Заземлитель
    • Соединительная клемма для стержня заземления
    • Ударный наконечник для стерженя заземления
    • Устройства защиты от перенапряжений среднего напряжения 1-36 кВ
    • Устройство защиты от импульсных перенапряжений для систем электроснабжения
    • Элемент базовый для устройства защиты от перенапряжений
    • Статьи
    • Как купить
    • Компания
    • Контакты
    ВАКСОН
    Каталог
    • Высоковольтное и щитовое оборудование
      Высоковольтное и щитовое оборудование
    • Генераторы электроэнергии и элементы питания
      Генераторы электроэнергии и элементы питания
    • Изделия для электромонтажа
      Изделия для электромонтажа
    • Инструменты, техника
      Инструменты, техника
    • Кабеленесущие системы
      Кабеленесущие системы
    • Кабели, провода и аксессуары
      Кабели, провода и аксессуары
    • Климатические и инженерные системы
      Климатические и инженерные системы
    • Низковольтное и промышленное электрооборудование
      Низковольтное и промышленное электрооборудование
    • Освещение
      Освещение
    • Связь, телекоммуникации
      Связь, телекоммуникации
    • Устройства и средства безопасности
      Устройства и средства безопасности
    • Электроустановочные изделия
      Электроустановочные изделия
    • Коммуникационная техника/Компоненты и системы
    • Линии электропередач (ЛЭП)
    • Системы распределения высокого напряжения
    • Системы распределения электроэнергии/распределительные устройства
    • Системы электрических распределительных шкафов
    • Электрические распределительные системы (в том числе электроустановочное оборудование)
    • Батарейки, аккумуляторы, зарядные устройства
    • Арматура кабельная/Изоляционные материалы
    • Изделия крепежные
    • Колодки клеммные
    • Материалы для подключения
    • Бытовая техника мелкая
    • Инструмент ручной
    • Инструменты для опрессовки, резки, снятия изоляции
    • Контрольно-измерительные приборы
    • Оборудование паяльное и сварочное
    • Рабочая одежда, охрана труда
    • Электроинструменты и аксессуары для них
    • Аксессуары для прокладки кабеля питания/ кабеля для передачи данных
    • Аксессуары кабельных лотков монтажные
    • Держатель трубы/кабеля кабеленесущей системы
    • Деталь крепежная для несущих и и профильных реек
    • Заглушка для кабельных лотков
    • Зажим для крышки системы поддержки кабелей
    • Каналы настенного и потолочного монтажа
    • Короба кабельные
    • Кронштейны
    • Крышка для кабельных лотков
    • Крышка Т-образной секции для кабельного лотка
    • Крышка угловой секции кабельных лотков
    • Лоток кабельный
    • Ответвление Т-образное для кабельных лотков
    • Переходник для кабельных лотков
    • Пластина монтажная для кабельного лотка
    • Разделитель для лотка
    • Рейки профильные конструкционные/несущие
    • Секция для кабельного лотка
    • Системы защиты шланговые
    • Системы скрытой проводки под полом
    • Системы, препятствующие распространению огня, огнестойкие кабель-каналы
    • Соединитель для кабельных лотков
    • Соединитель для несущих и и профильных реек
    • Устройства оптической и акустической сигнализации
    • Электроизоляционные трубы/Трубы для защиты кабеля
    • Кабели
    • Материал монтажный
    • Провода
    • Системы ввода для кабелей и проводов
    • Двигатели ворот, рольставен/Насосы/Вентиляторы
    • Котлы и обогреватели
    • Отопительные приборы/Технологические и инженерные системы
    • Датчики/сенсоры
    • Оборудование низковольтное
    • Реле
    • Устройства защиты, плавкие предохранители, модульные устройства/монтажные устройства
    • Учетная техника
    • Аппаратура пускорегулирующая
    • Лампы
    • Осветительные аксессуары
    • Светильники
    • Антенны и спутниковые технологии
    • Изделия монтажные для коммуникационных сетей
    • Системы пожарной, охранной сигнализации и системы аварийного оповещения
    • Соединители для шлангов и рукавов
    • Устройства безопасности
    • Устройства заземления, молниезащиты и защиты от перенапряжений
    • Адаптер переходный для электроустановочных устройств
    • Аксессуары для электроустановочных устройств
    • Блок "Выключатель-розетка"
    • Блок розеток, удлинитель
    • Вилка/розетка без защитного контакта
    • Вилки, розетки бытовые
    • Вилки, розетки и устройства промышленные и специальные
    • Вставки, крышки
    • Выключатели, переключатели
    • Датчик движения комплектный
    • Диммер
    • Корпуса и монтажные коробки
    • Материалы монтажные для маркировки
    • Механизм датчика движения
    • Переключатель кнопочный миниатюрный
    • Таймеры и реле
    • Электропитание USB
    • Дверной громкоговоритель
    • Знак безопасности/Предупреждающий знак
    • Кнопка дверного звонка
    • Арматура для неизолированных проводов
    • Арматура для самонесущих изолированных проводов (арматура СИП)
    • Арматура линейно-сцепная
    • Изоляторы для ЛЭП
    • Металлоконструкции и опоры для ЛЭП
    • Арматура для проводов линии электропередач
    • Высоковольтное коммутационное оборудование
    • Высоковольтные изоляторы
    • Аксессуары для шинопровода
    • Блок клеммной колодки распределительный
    • Блок распределительный с силовым выключателем
    • Блок/ящик выключателя с плавкими предохранителями
    • Держатель шины
    • Заземляющая шина для распределительного щита
    • Кабельные направляющие для шкафов
    • Магистральная клеммная колодка
    • Маркер/Спрей краска
    • Панель монтажная для распределительного щита
    • Распределительный блок сборных шин
    • Система блокировки для системы распределительного шкафа
    • Система крепления для шинопровода
    • Аксессуары для стойки распределительного шкафа
    • Вентилятор распределительного шкафа
    • Карман распределительного шкафа для схем и документов
    • Компоненты для заземления/уравнивания потенциалов распределительного шкафа
    • Компоненты для распределительных шкафов
    • Крышка/глухая дверь/полоса маркировки распределительного шкафа
    • Обогрев распределительного шкафа
    • Окно распределительного шкафа
    • Панели распределительных шкафов
    • Принадлежности монтажные распределительного шкафа
    • Профиль распределительного шкафа
    • Распределительный шкаф пустотелый
    • Телекоммуникационный шкаф
    • Термостат распределительного шкафа
    • Аксессуары для небольших распределительных панелей
    • Корпус пустотелый
    • Крышка модулей для измерительных/распределительных щитков
    • Малогабаритный распределительный щиток в сборе
    • Панель монтажная для распределительных щитков
    • Распределительный щиток для стройплощадки
    • Щит вводный кабельный
    • Щиток распределительный малогабаритный
    • Щиток учета пустотелый
    • Батарея аккумуляторная
    • Гальванический элемент
    • Сетевой шнур питания
    • Универсальное зарядное устройство
    • Гильзы соединительные
    • Заглушка термоусадочная концевая
    • Зажим соединительный, ответвительный
    • Муфта кабельная концевая
    • Муфта кабельная соединительная
    • Набор термоусадочных трубок
    • Наконечники, зажимы
    • Перчатка термоусаживаемая
    • Пружина постоянного давления
    • Разъем слаботочный
    • Рукав ремонтный термоусадочный
    • Сжим ответвительный, ответвитель
    • Система маркировки кабеля
    • Скотч и изоляционная лента
    • Спрей
    • Трубка термоусадочная
    • Трубки изоляционные, кембрики
    • Анкера
    • Болты
    • Винтовая заклепка
    • Втулка изолирующая
    • Гайки
    • Герметик, монтажная пена
    • Дюбеля
    • Зажим винтовой Гофмана
    • Клей
    • Крюк L-образный
    • Крюки, кронштейны
    • Лента монтажная
    • Основание монтажное для кабельных стяжек и элементов
    • Саморезы и шурупы
    • Хомут кабельный (стяжка)
    • Шайбы
    • Шпилька резьбовая
    • DIN-рейка, G-рейка
    • Клеммная колодка с предохранителем
    • Нулевая шина
    • Одно-многополюсная клеммная колодка
    • Перегородка концевая и разделительная для клеммной колодки
    • Проходная клеммная колодка
    • Соединитель клеммной колодки
    • Торцевой фиксатор
    • Аксессуары для распределительных коробок/корпусов для монтажа в стене и в потолке
    • Клемма соединительная безвинтовая
    • Коробка клеммная
    • Крышка для распределительной коробки/корпуса для монтажа в стене и в потолке
    • Распределительная коробка/корпус для монтажа в стене и в потолке
    • Распределительная коробка/корпус для монтажа на стене и на потолке
    • Машинки для стрижки волос
    • Электрическая плитка
    • Электрический чайник
    • Газовая горелка
    • Губцевый инструмент
    • Измерительные инструменты
    • Инструменты для прокладки кабеля
    • Лепестковый шлифовальный круг
    • Лестница, лазы
    • Маркер
    • Набор инструментов
    • Набор разметочного шнура
    • Навесной замок
    • Отвертки
    • Перфоратор
    • Пистолет для картриджей
    • Приспособления для хранения
    • Разматывающее устройство для катушек с кабелем/Станки кабельные
    • Расходные материалы для ручных инструментов
    • Резак для труб
    • Рукоятки для съема предохранителей
    • Инструмент для опрессовки кабельных наконечников, оконцевания проводов, присоединения экрана
    • Инструмент для снятия изоляции кабельный
    • Нож кабельный
    • Резак кабельный
    • Специальный инструмент для телекоммуникационных технологий
    • Аксессуары для измерительных приборов
    • Измерительное-/испытательное оборудование для телекоммуникационной технологии
    • Индикатор низкого напряжения
    • Клещи токоизмерительные
    • Контрольный стержень
    • Мультиметр
    • Набор измерительных инструментов
    • Горелка газосварочная
    • Жало паяльника
    • Материалы для сварки
    • Набор паяльный
    • Отсос для припоя
    • Паяльник электрический
    • Подставка для паяльника
    • Припойная проволока
    • Флюс-гель
    • Коврик диэлектрический
    • Перчатки защитные
    • Дрели и шуруповерты
    • Паяльный пистолет
    • Расходные материалы для инструментов
    • Термоклеевой пистолет (электрический)
    • Удлинитель кабельный на катушке/барабане
    • Фен технический
    • Заглушки и крышки
    • Зажим кабельный для настенного кабель-канала
    • Кабель-канал
    • Кабель-канал напольный
    • Кабель-канал настенный (парапетный)
    • Коробка для кабеля
    • Панель лицевая для настенного кабель-канала
    • Перегородка разделительная для настенного кабель-канала
    • Переходник для кабель-канала
    • Рамка для ввода настенного кабель-канала в стену/потолок/щит
    • Соединители для кабель-канала
    • Углы и повороты
    • Короб распределительный щелевой
    • Кронштейн для кабельного лотка
    • Настенный и потолочный кронштейн для кабельного лотка
    • Настенный кронштейн для кабельных лотков
    • Потолочный кронштейн для системы прокладки кабеля
    • Лоток кабельный лестничный
    • Лоток кабельный листовой
    • Лоток кабельный проволочный
    • Секция Т-образная для кабельного лотка
    • Секция угловая для кабельных лотков
    • Зажим винтовой для металлических защитных рукавов
    • Пластиковый защитный рукав
    • Рукав защитный металлический
    • Спираль монтажная, рукав для объединения кабелей в жгут
    • Труба гофрированная пластиковая
    • Уплотнительное кольцо
    • Коробка монтажная
    • Огнезащитное покрытие/обшивка
    • Звонок громкого боя
    • Звонок электрический
    • Оптическое/акустическое сигнальное устройство
    • Светильник с постоянным светом
    • Сирена электронная
    • Заглушка трубы для электропроводки
    • Колено трубы для электропроводки
    • Пластиковая труба для электропроводки
    • Сигнальная лента
    • Соединительные муфты
    • Стальная труба для электропроводки
    • Тройник трубы для защиты кабеля
    • Труба для прокладки в земле
    • Угол трубы для электропроводки
    • Кабели связи, телефонные, телекоммуникационные
    • Кабель высокого напряжения
    • Кабель гибкий
    • Кабель гибридный
    • Кабель коаксиальный
    • Кабель контрольный
    • Кабель охранно-пожарной сигнализации
    • Кабель силовой
    • Зажим балочный
    • Зажим для монтажа ленты/троса
    • Зажим/Клипса для крепления труб
    • Направляющая кабеля
    • Скоба крепежная
    • Скоба с гвоздем
    • Соединитель провода
    • Стальная проволока
    • Провод акустический
    • Провод неизолированный
    • Провод одножильный
    • Провод плоский для внутренней электропроводки
    • Провод самонесущий изолированный для воздушных линий электропередачи
    • Провод установочный
    • Ввод кабельный/сальник
    • Контргайка для кабельного ввода
    • Уплотнитель для кабельного разъема
    • Аксессуары для электродвигателя
    • Внутренний вентилятор для ванных комнат и кухонь
    • Электродвигатель
    • Тепловентилятор
    • Аксессуары для нагревательных кабелей
    • Датчик температуры для отопительных приборов
    • Завеса тепловая
    • Конвектор электрический
    • Контроллер температуры в помещении
    • Набор для нагревательных кабелей
    • Нагреватель инфракрасный
    • Нагреватель/тепловентилятор
    • Нагревательный кабель
    • Нагревательный мат
    • Осушитель/Увлажнитель/Очиститель воздуха
    • Радиатор (электрический)
    • Сушилка для рук
    • Терморегулятор комнатный
    • Термостат с таймером
    • Выключатель концевой
    • Датчик фотоэлектрический
    • Емкостной датчик приближения
    • Поплавковый выключатель
    • Аксессуары для аппарата цепи управления
    • Аксессуары для низковольтных коммутационных аппаратов
    • Арматура светосигнальная
    • Выключатели, рубильники, разъединители
    • Изоляторы низковольтные
    • Кнопки, переключатели
    • Корпус постов для установки аппаратов управления и сигнализации
    • Переходник на DIN рейку
    • Пост кнопочный в сборе
    • Потенциометр для аппарата цепи управления
    • Разделитель фаз для автоматических выключателей
    • Распределительные устройства
    • Расцепитель минимального напряжения
    • Стабилизаторы напряжения
    • Трансформаторы
    • Устройства защиты, предохранители
    • Устройства управления электродвигателями
    • Устройства электропитания
    • Устройство управления и защиты двигателя электронное
    • Шина
    • Аксессуары для коммутационного реле
    • Реле времени
    • Реле времени модульное для распределительных щитов
    • Реле времени цифровое
    • Реле импульсное
    • Реле коммутационное
    • Реле контроля температуры
    • Реле контроля тока
    • Реле контроля уровня/заполнения
    • Реле контроля фаз
    • Реле направления мощности
    • Реле напряжения
    • Реле тепловое
    • Розетка-реле
    • Аксессуары для ножевых плавких предохранителей
    • Амперметры
    • Вольтметры
    • Вспомогательное устройство для устройств распределительного щита (модульного оборудования)
    • Вставка цилиндрического предохранителя
    • Выключатель автоматический (пробка) резьбового присоединения
    • Выключатель автоматический дифференциального тока
    • Выключатель автоматический модульный
    • Выключатель сумеречный модульный для распределительных щитов
    • Выключатель/переключатель модульный для распределительного щита
    • Держатель для цилиндрических предохранителей
    • Держатель низковольтного ножевого плавкого предохранителя
    • Звонок модульный для распределительных щитов
    • Индикатор световой модульный для распределительных щитов
    • Кнопка модульная для распределительных щитов
    • Миниатюрный плавкий предохранитель
    • Многофункциональный измерительный прибор
    • Плавкий предохранитель низковольтный ножевой
    • Пускатель магнитный модульный для распределительных щитов
    • Регулятор температуры модульный для распределительных щитов
    • Розетка модульная для распределительных щитов
    • Устройство блокировки для модульных выключателей
    • Устройство защитного отключения (УЗО)
    • Счетчики электроэнергии
    • Балласт
    • Драйвер светодиодный
    • Компонент системы управления освещением
    • Стартер/импульсно-зажигающее устройство (ИЗУ)
    • Трансформатор высоковольтного розжига
    • Трансформатор для низковольтной системы освещения/низковольтной галогенной лампы накаливания
    • Лампа галогенная
    • Лампа индикаторная и сигнальная
    • Лампа люминесцентная
    • Лампа люминесцентная компактная неинтегрированная
    • Лампа металлогалогенная
    • Лампа натриевая высокого давления
    • Лампа ртутная высокого давления
    • Лампа ртутно-вольфрамовая дуговая
    • Лампа светодиодная
    • Лампы накаливания
    • Аксессуары для опор освещения
    • Аксессуары для светильника
    • Аксессуары для светодиодной ленты/трубки
    • Блок автономный светильника аварийного освещения
    • Патрон ламповый
    • Пиктограмма для светильников
    • Столб/опора освещения
    • Шинопровод для освещения
    • Встраиваемые светильники
    • Лампа настольная
    • Линейные светильники
    • Настенно-потолочные светильники
    • Ночник
    • Освещение иллюминационное
    • Прожекторы
    • Светильник аварийного освещения
    • Светильник взрывозащищенный стационарный
    • Светильник для местного освещения станков
    • Светильник направленного света
    • Светильник переносной
    • Светильник пылевлагозащищенный
    • Светильник торшерный, столбик световой
    • Указатель световой
    • Уличные светильники
    • Фонари
    • Комнатная антенна
    • Ответвитель и разветвитель
    • Розетка антенная TV
    • Адаптер для системы связи
    • Аксессуары для ИБП
    • Защита кабеля от перегиба
    • Источник бесперебойного питания (ИБП)
    • Кабель компьютерный
    • Кабель соединительный медный (витая пара)
    • Коаксиальная соединительная муфта
    • Панель коммутационная медная
    • Разъем модульный
    • Разъем, штекер коаксиальный
    • Распределительная коробка для телекоммуникационной техники
    • Розетка медная коммуникационная (витая пара)
    • Телекоммуникационный разъем
    • Телекоммуникацонный соединительный кабель
    • Датчик газа
    • Датчик открытия для системы охранной сигнализации
    • Датчик технический для системы охранной сигнализации
    • Зуммер
    • Извещатель для системы пожарной сигнализации
    • Камера для системы видеонаблюдения
    • Система контроля доступа
    • Центральный пульт блокировки дверей
    • Хомут червячный для шланга
    • Кронштейн монтажный для переносного заземления
    • Переносное заземление
    • Указатель высокого напряжения
    • Штанга оперативная
    • Аксессуары для заземления и молниезащиты
    • Металлический проводник
    • Набор для заземления / молниезащиты
    • Устройства для молниезащиты
    • Устройства заземления
    • Устройства защиты от перенапряжений
    • Устройства защиты от перенапряжений для терминального оборудования
    • Шина уравнивания потенциалов
    • Кнопка нажимная
    • Основание для открытого монтажа
    • Переходник розетки мультистандартный
    • Рамка декоративная для электроустановочных устройств
    • Вилка с защитным контактом бытовая SCHUKO
    • Розетка кабельная для удлинителя
    • Розетка с заземлением стандарта SCHUKO
    • Розетка штепсельная
    • Вилка стандарта CEE кабельная
    • Разъем штепсельный круглый силовой
    • Розетка встроенная стандарта CEE
    • Розетка стандарта СЕЕ кабельная
    • Розетка стандарта СЕЕ накладного монтажа
    • Вставка/крышка для коммуникационных технологий
    • Корпус накладной для открытого монтажа электроустановочных устройств
    • Выключатель сумеречный (фотореле)
    • Реле времени механическое для электроустановочных устройств
    • Таймер электронный для электроустановочных устройств
    • Компоненты для сборки распределительного шкафа
    • Компоненты для транспортировки распределительного шкафа
    • Компоненты крепления проводов, кабельных вводов и фиксации кабеля распределительного шкафа
    • Дверь/панель управления распределительного шкафа
    • Панель вентиляционная для распределительного шкафа
    • Панель распределительного шкафа боковая/задняя
    • Гильза соединительная для алюминиевых проводников под опрессовку
    • Гильза соединительная для медных проводников под опрессовку
    • Гильза соединительная со срывными болтами
    • Гильза термоусадочная обжимная
    • Наконечник быстроразмыкаемый
    • Наконечник кабельный со срывными болтами
    • Наконечник кабельный трубчатый для медных проводников
    • Наконечник обжимной кабельный для алюминиевых проводников
    • Наконечник обжимной кабельный для медных проводников
    • Наконечник обжимной кабельный для медных проводников в соответствии с DIN 46236
    • Наконечник-гильза для медных проводников
    • Анкер болтовой
    • Анкер забивной
    • Анкер клиновой
    • Болт анкерный
    • Болт с полукруглой головкой и квадратным подголовком
    • Болт с шестигранной головкой
    • Гайка длинная
    • Гайка стопорная
    • Гайка шестигранная
    • Дюбель для полых стен
    • Дюбель резьбовой
    • Дюбель универсальный /вставка
    • Дюбель-гвоздь
    • Кронштейн для кабеля
    • Крюк с винтом
    • Саморез
    • Саморез по дереву
    • Саморез по металлу
    • Шайба
    • Шайба пружинная зубчатая
    • Шайба стопорная с лапкой
    • Клещи для зачистки проводов
    • Кусачки бокорезы
    • Пассатижи
    • Переставные плоскогубцы
    • Струбцина
    • Рулетка
    • Инструмент монтажный для кабельных стяжек
    • Система протяжки кабеля
    • Набор отверток
    • Бит для крестообразных винтов
    • Отвертка крестовая
    • Отвертка шлицевая
    • Ящик для инструментов
    • Лезвие ножа заменяемое
    • Ударная дрель (электрическая)
    • Шуруповерт (аккумуляторный)
    • Отрезной абразивный и шлифовальный диск
    • Сверло
    • Заглушка для кабель-канала
    • Заглушка для настенного кабель-канала
    • Крышка для настенного кабель-канала
    • Коробка монтажная для настенного кабель-канала
    • Коробка распределительная для систем кабель-каналов
    • Соединитель на стык для настенного кабель-канала
    • Соединитель/накладка на стык для кабель-канала
    • Поворот для кабель-канала
    • Поворот для настенного кабель-канала
    • Угол внешний для кабель-канала
    • Угол внешний для настенного кабель-канала
    • Угол внутренний для кабель-канала
    • Угол внутренний для настенного кабель-канала
    • Угол Т-образный для кабель-канала
    • Угол Т-образный для настенного кабель-канала
    • Муфта соединительная для электромонтажных труб
    • Муфта трубы для электропроводки
    • Соединительная муфта для труб защиты кабеля
    • Выключатель автоматический для защиты двигателя
    • Выключатель автоматический силовой
    • Выключатель нагрузки
    • Выключатель-разъединитель
    • Рукоятка управления силовым автоматическим выключателем
    • Держатель маркировочной пластины аппарата для цепи управления
    • Кнопка аварийного отключения в сборе
    • Кнопка нажимная в сборе
    • Передняя часть (головка) нажимной кнопки
    • Переключатель вольтметра
    • Переключатель для цепи управления, пакетный
    • Пульт подвесной управления в сборе
    • Управляющий переключатель в сборе
    • Элемент передний переключателя
    • Клемма шинная
    • Распределительный клеммный блок
    • Ящик с рубильником и предохранителем
    • Трансформатор однофазный силовой низковольтный
    • Трансформатор тока
    • Блок-линия разъединитель предохранитель
    • Гребенка распределительная
    • Комплект расширительных выводов
    • Контакт автоматического выключателя дополнительный
    • Ограничитель тока
    • Привод для силовых автоматических выключателей электрический
    • Расцепитель независимый
    • Комбинированный пускатель с электронным блоком управления
    • Контакт вспомогательный
    • Контактор/магнитный пускатель/силовое реле переменного тока (АС)
    • Модуль усилителя для контакторов
    • Преобразователь частоты низковольтный до 1 кВ
    • Источник питания переменного тока
    • Источник питания постоянного тока
    • Лампа галогенная низковольтная без отражателя
    • Лампа галогенная низковольтная с отражателем
    • Лампа галогенная сетевого напряжения без отражателя
    • Лампа галогенная сетевого напряжения с отражателем
    • Лампа накаливания в форме свечи
    • Лампа накаливания в форме шара
    • Лампа накаливания зеркальная
    • Лампа накаливания стандартная
    • Лампа накаливания трубчатая
    • Аксессуары для светильника механические
    • Аксессуары для светильника светотехнические
    • Светильник встраиваемый потолочный и настенный
    • Светильник для встраиваемого и поверхностного монтажа
    • Лента/полоса светодиодная
    • Светильник линейный реечного типа
    • Потолочный/настенный светильник
    • Светильник для высоких пролетов
    • Светильник накладной потолочный и настенный
    • Светильник настенно-потолочный
    • Прожектор переносной
    • Светильник направленного света/ прожектор/ даунлайт
    • Светильник для освещения улиц и площадей
    • Светильник подвесной
    • Фонарь взрывозащищенный карманный электрический
    • Фонарь карманный, ручной электрический
    • Держатель кровельный проводника для молниезащиты
    • Держатель проводника для молниезащиты
    • Плоский проводник для молниезащиты
    • Разрядник тока молнии для систем электроснабжения
    • Соединитель для молниезащиты
    • Стержневой молниеприемник для молниезащиты
    • Токоотвод для молниезащиты круглый
    • Зажим заземления
    • Зажим заземления трубы
    • Заземлитель
    • Соединительная клемма для стержня заземления
    • Ударный наконечник для стерженя заземления
    • Устройства защиты от перенапряжений среднего напряжения 1-36 кВ
    • Устройство защиты от импульсных перенапряжений для систем электроснабжения
    • Элемент базовый для устройства защиты от перенапряжений
    +7(499)300-99-03
    +7(499)300-99-03
    Написать в WhatsApp
    Сравнение0 Отложенные 0 Корзина 0
    ВАКСОН
    Сравнение0 Отложенные 0 Корзина 0
    Телефоны
    +7(499)300-99-03
    • Каталог
      • Назад
      • Каталог
      • Высоковольтное и щитовое оборудование
        • Назад
        • Высоковольтное и щитовое оборудование
        • Коммуникационная техника/Компоненты и системы
          • Назад
          • Коммуникационная техника/Компоненты и системы
          • Дверной громкоговоритель
          • Кнопка дверного звонка
          • Знак безопасности/Предупреждающий знак
        • Линии электропередач (ЛЭП)
          • Назад
          • Линии электропередач (ЛЭП)
          • Арматура для неизолированных проводов
          • Арматура для самонесущих изолированных проводов (арматура СИП)
          • Арматура линейно-сцепная
          • Изоляторы для ЛЭП
          • Металлоконструкции и опоры для ЛЭП
        • Системы распределения высокого напряжения
          • Назад
          • Системы распределения высокого напряжения
          • Арматура для проводов линии электропередач
          • Высоковольтное коммутационное оборудование
          • Высоковольтные изоляторы
        • Системы распределения электроэнергии/распределительные устройства
          • Назад
          • Системы распределения электроэнергии/распределительные устройства
          • Аксессуары для шинопровода
          • Блок клеммной колодки распределительный
          • Блок распределительный с силовым выключателем
          • Блок/ящик выключателя с плавкими предохранителями
          • Держатель шины
          • Кабельные направляющие для шкафов
          • Магистральная клеммная колодка
          • Маркер/Спрей краска
          • Панель монтажная для распределительного щита
          • Система блокировки для системы распределительного шкафа
          • Заземляющая шина для распределительного щита
          • Распределительный блок сборных шин
        • Системы электрических распределительных шкафов
          • Назад
          • Системы электрических распределительных шкафов
          • Вентилятор распределительного шкафа
          • Карман распределительного шкафа для схем и документов
          • Крышка/глухая дверь/полоса маркировки распределительного шкафа
          • Обогрев распределительного шкафа
          • Окно распределительного шкафа
          • Принадлежности монтажные распределительного шкафа
          • Профиль распределительного шкафа
          • Распределительный шкаф пустотелый
          • Термостат распределительного шкафа
          • Панели распределительных шкафов
          • Компоненты для распределительных шкафов
          • Телекоммуникационный шкаф
          • Аксессуары для стойки распределительного шкафа
          • Компоненты для заземления/уравнивания потенциалов распределительного шкафа
        • Электрические распределительные системы (в том числе электроустановочное оборудование)
          • Назад
          • Электрические распределительные системы (в том числе электроустановочное оборудование)
          • Аксессуары для небольших распределительных панелей
          • Корпус пустотелый
          • Крышка модулей для измерительных/распределительных щитков
          • Малогабаритный распределительный щиток в сборе
          • Распределительный щиток для стройплощадки
          • Щиток распределительный малогабаритный
          • Щиток учета пустотелый
          • Панель монтажная для распределительных щитков
          • Щит вводный кабельный
      • Генераторы электроэнергии и элементы питания
        • Назад
        • Генераторы электроэнергии и элементы питания
        • Батарейки, аккумуляторы, зарядные устройства
          • Назад
          • Батарейки, аккумуляторы, зарядные устройства
          • Батарея аккумуляторная
          • Гальванический элемент
          • Сетевой шнур питания
          • Универсальное зарядное устройство
      • Изделия для электромонтажа
        • Назад
        • Изделия для электромонтажа
        • Арматура кабельная/Изоляционные материалы
          • Назад
          • Арматура кабельная/Изоляционные материалы
          • Заглушка термоусадочная концевая
          • Зажим соединительный, ответвительный
          • Перчатка термоусаживаемая
          • Муфта кабельная концевая
          • Муфта кабельная соединительная
          • Пружина постоянного давления
          • Разъем слаботочный
          • Сжим ответвительный, ответвитель
          • Система маркировки кабеля
          • Скотч и изоляционная лента
          • Спрей
          • Трубка термоусадочная
          • Трубки изоляционные, кембрики
          • Набор термоусадочных трубок
          • Наконечники, зажимы
          • Гильзы соединительные
          • Рукав ремонтный термоусадочный
        • Изделия крепежные
          • Назад
          • Изделия крепежные
          • Втулка изолирующая
          • Герметик, монтажная пена
          • Клей
          • Лента монтажная
          • Основание монтажное для кабельных стяжек и элементов
          • Хомут кабельный (стяжка)
          • Шпилька резьбовая
          • Шайбы
          • Гайки
          • Анкера
          • Болты
          • Саморезы и шурупы
          • Дюбеля
          • Крюки, кронштейны
          • Винтовая заклепка
          • Зажим винтовой Гофмана
        • Колодки клеммные
          • Назад
          • Колодки клеммные
          • DIN-рейка, G-рейка
          • Нулевая шина
          • Одно-многополюсная клеммная колодка
          • Перегородка концевая и разделительная для клеммной колодки
          • Проходная клеммная колодка
          • Торцевой фиксатор
          • Клеммная колодка с предохранителем
        • Материалы для подключения
          • Назад
          • Материалы для подключения
          • Аксессуары для распределительных коробок/корпусов для монтажа в стене и в потолке
          • Клемма соединительная безвинтовая
          • Коробка клеммная
          • Крышка для распределительной коробки/корпуса для монтажа в стене и в потолке
          • Распределительная коробка/корпус для монтажа в стене и в потолке
          • Распределительная коробка/корпус для монтажа на стене и на потолке
      • Инструменты, техника
        • Назад
        • Инструменты, техника
        • Бытовая техника мелкая
          • Назад
          • Бытовая техника мелкая
          • Машинки для стрижки волос
          • Электрическая плитка
          • Электрический чайник
        • Инструмент ручной
          • Назад
          • Инструмент ручной
          • Маркер
          • Набор инструментов
          • Пистолет для картриджей
          • Рукоятки для съема предохранителей
          • Навесной замок
          • Отвертки
          • Инструменты для прокладки кабеля
          • Расходные материалы для ручных инструментов
          • Измерительные инструменты
          • Губцевый инструмент
          • Приспособления для хранения
          • Лепестковый шлифовальный круг
          • Перфоратор
          • Газовая горелка
        • Инструменты для опрессовки, резки, снятия изоляции
          • Назад
          • Инструменты для опрессовки, резки, снятия изоляции
          • Инструмент для опрессовки кабельных наконечников, оконцевания проводов, присоединения экрана
          • Инструмент для снятия изоляции кабельный
          • Нож кабельный
          • Резак кабельный
          • Специальный инструмент для телекоммуникационных технологий
        • Контрольно-измерительные приборы
          • Назад
          • Контрольно-измерительные приборы
          • Аксессуары для измерительных приборов
          • Измерительное-/испытательное оборудование для телекоммуникационной технологии
          • Индикатор низкого напряжения
          • Клещи токоизмерительные
          • Контрольный стержень
          • Мультиметр
        • Оборудование паяльное и сварочное
          • Назад
          • Оборудование паяльное и сварочное
          • Материалы для сварки
          • Набор паяльный
          • Паяльник электрический
          • Подставка для паяльника
          • Припойная проволока
          • Флюс-гель
          • Жало паяльника
        • Рабочая одежда, охрана труда
          • Назад
          • Рабочая одежда, охрана труда
          • Коврик диэлектрический
          • Перчатки защитные
        • Электроинструменты и аксессуары для них
          • Назад
          • Электроинструменты и аксессуары для них
          • Удлинитель кабельный на катушке/барабане
          • Паяльный пистолет
          • Термоклеевой пистолет (электрический)
          • Фен технический
          • Дрели и шуруповерты
          • Расходные материалы для инструментов
      • Кабеленесущие системы
        • Назад
        • Кабеленесущие системы
        • Каналы настенного и потолочного монтажа
          • Назад
          • Каналы настенного и потолочного монтажа
          • Зажим кабельный для настенного кабель-канала
          • Кабель-канал
          • Кабель-канал напольный
          • Кабель-канал настенный (парапетный)
          • Панель лицевая для настенного кабель-канала
          • Перегородка разделительная для настенного кабель-канала
          • Переходник для кабель-канала
          • Рамка для ввода настенного кабель-канала в стену/потолок/щит
          • Углы и повороты
          • Соединители для кабель-канала
          • Коробка для кабеля
          • Заглушки и крышки
        • Короба кабельные
          • Назад
          • Короба кабельные
          • Короб распределительный щелевой
        • Системы защиты шланговые
          • Назад
          • Системы защиты шланговые
          • Зажим винтовой для металлических защитных рукавов
          • Пластиковый защитный рукав
          • Рукав защитный металлический
          • Спираль монтажная, рукав для объединения кабелей в жгут
          • Труба гофрированная пластиковая
          • Уплотнительное кольцо
        • Системы, препятствующие распространению огня, огнестойкие кабель-каналы
          • Назад
          • Системы, препятствующие распространению огня, огнестойкие кабель-каналы
          • Огнезащитное покрытие/обшивка
        • Системы скрытой проводки под полом
          • Назад
          • Системы скрытой проводки под полом
          • Коробка монтажная
        • Устройства оптической и акустической сигнализации
          • Назад
          • Устройства оптической и акустической сигнализации
          • Звонок электрический
          • Звонок громкого боя
          • Оптическое/акустическое сигнальное устройство
          • Сирена электронная
          • Светильник с постоянным светом
        • Электроизоляционные трубы/Трубы для защиты кабеля
          • Назад
          • Электроизоляционные трубы/Трубы для защиты кабеля
          • Заглушка трубы для электропроводки
          • Колено трубы для электропроводки
          • Пластиковая труба для электропроводки
          • Сигнальная лента
          • Стальная труба для электропроводки
          • Тройник трубы для защиты кабеля
          • Труба для прокладки в земле
          • Угол трубы для электропроводки
          • Соединительные муфты
        • Аксессуары для прокладки кабеля питания/ кабеля для передачи данных
        • Аксессуары кабельных лотков монтажные
        • Держатель трубы/кабеля кабеленесущей системы
        • Деталь крепежная для несущих и и профильных реек
        • Заглушка для кабельных лотков
        • Зажим для крышки системы поддержки кабелей
        • Крышка Т-образной секции для кабельного лотка
        • Крышка для кабельных лотков
        • Крышка угловой секции кабельных лотков
        • Ответвление Т-образное для кабельных лотков
        • Переходник для кабельных лотков
        • Пластина монтажная для кабельного лотка
        • Разделитель для лотка
        • Рейки профильные конструкционные/несущие
        • Соединитель для кабельных лотков
        • Соединитель для несущих и и профильных реек
        • Лоток кабельный
          • Назад
          • Лоток кабельный
          • Лоток кабельный лестничный
          • Лоток кабельный листовой
          • Лоток кабельный проволочный
        • Секция для кабельного лотка
          • Назад
          • Секция для кабельного лотка
          • Секция Т-образная для кабельного лотка
          • Секция угловая для кабельных лотков
        • Кронштейны
          • Назад
          • Кронштейны
          • Кронштейн для кабельного лотка
          • Настенный и потолочный кронштейн для кабельного лотка
          • Настенный кронштейн для кабельных лотков
          • Потолочный кронштейн для системы прокладки кабеля
      • Кабели, провода и аксессуары
        • Назад
        • Кабели, провода и аксессуары
        • Материал монтажный
          • Назад
          • Материал монтажный
          • Зажим балочный
          • Зажим для монтажа ленты/троса
          • Зажим/Клипса для крепления труб
          • Направляющая кабеля
          • Скоба крепежная
          • Скоба с гвоздем
          • Соединитель провода
          • Стальная проволока
        • Системы ввода для кабелей и проводов
          • Назад
          • Системы ввода для кабелей и проводов
          • Ввод кабельный/сальник
          • Уплотнитель для кабельного разъема
          • Контргайка для кабельного ввода
        • Провода
          • Назад
          • Провода
          • Провод акустический
          • Провод неизолированный
          • Провод одножильный
          • Провод плоский для внутренней электропроводки
          • Провод самонесущий изолированный для воздушных линий электропередачи
          • Провод установочный
        • Кабели
          • Назад
          • Кабели
          • Кабели связи, телефонные, телекоммуникационные
          • Кабель высокого напряжения
          • Кабель гибкий
          • Кабель гибридный
          • Кабель коаксиальный
          • Кабель контрольный
          • Кабель охранно-пожарной сигнализации
          • Кабель силовой
      • Климатические и инженерные системы
        • Назад
        • Климатические и инженерные системы
        • Двигатели ворот, рольставен/Насосы/Вентиляторы
          • Назад
          • Двигатели ворот, рольставен/Насосы/Вентиляторы
          • Внутренний вентилятор для ванных комнат и кухонь
          • Электродвигатель
        • Котлы и обогреватели
          • Назад
          • Котлы и обогреватели
          • Тепловентилятор
        • Отопительные приборы/Технологические и инженерные системы
          • Назад
          • Отопительные приборы/Технологические и инженерные системы
          • Аксессуары для нагревательных кабелей
          • Датчик температуры для отопительных приборов
          • Завеса тепловая
          • Конвектор электрический
          • Контроллер температуры в помещении
          • Набор для нагревательных кабелей
          • Нагреватель инфракрасный
          • Нагреватель/тепловентилятор
          • Нагревательный кабель
          • Нагревательный мат
          • Осушитель/Увлажнитель/Очиститель воздуха
          • Радиатор (электрический)
          • Сушилка для рук
          • Термостат с таймером
          • Терморегулятор комнатный
      • Низковольтное и промышленное электрооборудование
        • Назад
        • Низковольтное и промышленное электрооборудование
        • Датчики/сенсоры
          • Назад
          • Датчики/сенсоры
          • Выключатель концевой
          • Датчик фотоэлектрический
          • Поплавковый выключатель
          • Емкостной датчик приближения
        • Оборудование низковольтное
          • Назад
          • Оборудование низковольтное
          • Аксессуары для аппарата цепи управления
          • Аксессуары для низковольтных коммутационных аппаратов
          • Арматура светосигнальная
          • Изоляторы низковольтные
          • Корпус постов для установки аппаратов управления и сигнализации
          • Переходник на DIN рейку
          • Потенциометр для аппарата цепи управления
          • Стабилизаторы напряжения
          • Шина
          • Трансформаторы
          • Устройства управления электродвигателями
          • Кнопки, переключатели
          • Распределительные устройства
          • Устройства электропитания
          • Выключатели, рубильники, разъединители
          • Устройства защиты, предохранители
          • Устройство управления и защиты двигателя электронное
          • Пост кнопочный в сборе
          • Расцепитель минимального напряжения
          • Разделитель фаз для автоматических выключателей
        • Реле
          • Назад
          • Реле
          • Аксессуары для коммутационного реле
          • Реле времени
          • Реле времени модульное для распределительных щитов
          • Реле времени цифровое
          • Реле импульсное
          • Реле коммутационное
          • Реле контроля уровня/заполнения
          • Реле контроля фаз
          • Реле напряжения
          • Реле тепловое
          • Розетка-реле
          • Реле контроля тока
          • Реле контроля температуры
          • Реле направления мощности
        • Устройства защиты, плавкие предохранители, модульные устройства/монтажные устройства
          • Назад
          • Устройства защиты, плавкие предохранители, модульные устройства/монтажные устройства
          • Аксессуары для ножевых плавких предохранителей
          • Амперметры
          • Вольтметры
          • Вставка цилиндрического предохранителя
          • Выключатель автоматический дифференциального тока
          • Выключатель автоматический модульный
          • Выключатель автоматический (пробка) резьбового присоединения
          • Выключатель сумеречный модульный для распределительных щитов
          • Выключатель/переключатель модульный для распределительного щита
          • Держатель для цилиндрических предохранителей
          • Держатель низковольтного ножевого плавкого предохранителя
          • Индикатор световой модульный для распределительных щитов
          • Кнопка модульная для распределительных щитов
          • Вспомогательное устройство для устройств распределительного щита (модульного оборудования)
          • Плавкий предохранитель низковольтный ножевой
          • Пускатель магнитный модульный для распределительных щитов
          • Регулятор температуры модульный для распределительных щитов
          • Розетка модульная для распределительных щитов
          • Устройство блокировки для модульных выключателей
          • Устройство защитного отключения (УЗО)
          • Многофункциональный измерительный прибор
          • Звонок модульный для распределительных щитов
          • Миниатюрный плавкий предохранитель
        • Учетная техника
          • Назад
          • Учетная техника
          • Счетчики электроэнергии
      • Освещение
        • Назад
        • Освещение
        • Аппаратура пускорегулирующая
          • Назад
          • Аппаратура пускорегулирующая
          • Балласт
          • Драйвер светодиодный
          • Компонент системы управления освещением
          • Стартер/импульсно-зажигающее устройство (ИЗУ)
          • Трансформатор высоковольтного розжига
          • Трансформатор для низковольтной системы освещения/низковольтной галогенной лампы накаливания
        • Лампы
          • Назад
          • Лампы
          • Лампа индикаторная и сигнальная
          • Лампа люминесцентная
          • Лампа люминесцентная компактная неинтегрированная
          • Лампа металлогалогенная
          • Лампа натриевая высокого давления
          • Лампа ртутная высокого давления
          • Лампа ртутно-вольфрамовая дуговая
          • Лампа светодиодная
          • Лампы накаливания
          • Лампа галогенная
        • Осветительные аксессуары
          • Назад
          • Осветительные аксессуары
          • Аксессуары для опор освещения
          • Аксессуары для светодиодной ленты/трубки
          • Блок автономный светильника аварийного освещения
          • Патрон ламповый
          • Пиктограмма для светильников
          • Столб/опора освещения
          • Шинопровод для освещения
          • Аксессуары для светильника
        • Светильники
          • Назад
          • Светильники
          • Лампа настольная
          • Ночник
          • Освещение иллюминационное
          • Светильник аварийного освещения
          • Светильник взрывозащищенный стационарный
          • Светильник для местного освещения станков
          • Светильник направленного света
          • Светильник переносной
          • Светильник пылевлагозащищенный
          • Светильник торшерный, столбик световой
          • Настенно-потолочные светильники
          • Уличные светильники
          • Встраиваемые светильники
          • Линейные светильники
          • Фонари
          • Прожекторы
          • Указатель световой
      • Связь, телекоммуникации
        • Назад
        • Связь, телекоммуникации
        • Антенны и спутниковые технологии
          • Назад
          • Антенны и спутниковые технологии
          • Ответвитель и разветвитель
          • Розетка антенная TV
          • Комнатная антенна
        • Изделия монтажные для коммуникационных сетей
          • Назад
          • Изделия монтажные для коммуникационных сетей
          • Адаптер для системы связи
          • Защита кабеля от перегиба
          • Кабель соединительный медный (витая пара)
          • Разъем модульный
          • Разъем, штекер коаксиальный
          • Розетка медная коммуникационная (витая пара)
          • Телекоммуникационный разъем
          • Телекоммуникацонный соединительный кабель
          • Коаксиальная соединительная муфта
          • Панель коммутационная медная
          • Источник бесперебойного питания (ИБП)
          • Аксессуары для ИБП
          • Кабель компьютерный
          • Распределительная коробка для телекоммуникационной техники
      • Устройства и средства безопасности
        • Назад
        • Устройства и средства безопасности
        • Системы пожарной, охранной сигнализации и системы аварийного оповещения
          • Назад
          • Системы пожарной, охранной сигнализации и системы аварийного оповещения
          • Зуммер
          • Извещатель для системы пожарной сигнализации
          • Камера для системы видеонаблюдения
          • Система контроля доступа
          • Датчик газа
          • Датчик открытия для системы охранной сигнализации
          • Датчик технический для системы охранной сигнализации
          • Центральный пульт блокировки дверей
        • Соединители для шлангов и рукавов
          • Назад
          • Соединители для шлангов и рукавов
          • Хомут червячный для шланга
        • Устройства безопасности
          • Назад
          • Устройства безопасности
          • Кронштейн монтажный для переносного заземления
          • Переносное заземление
          • Указатель высокого напряжения
          • Штанга оперативная
        • Устройства заземления, молниезащиты и защиты от перенапряжений
          • Назад
          • Устройства заземления, молниезащиты и защиты от перенапряжений
          • Аксессуары для заземления и молниезащиты
          • Набор для заземления / молниезащиты
          • Шина уравнивания потенциалов
          • Металлический проводник
          • Устройства защиты от перенапряжений
          • Устройства для молниезащиты
          • Устройства заземления
          • Устройства защиты от перенапряжений для терминального оборудования
      • Электроустановочные изделия
        • Назад
        • Электроустановочные изделия
        • Вилки, розетки и устройства промышленные и специальные
          • Назад
          • Вилки, розетки и устройства промышленные и специальные
          • Вилка стандарта CEE кабельная
          • Разъем штепсельный круглый силовой
          • Розетка встроенная стандарта CEE
          • Розетка стандарта СЕЕ кабельная
          • Розетка стандарта СЕЕ накладного монтажа
        • Аксессуары для электроустановочных устройств
          • Назад
          • Аксессуары для электроустановочных устройств
          • Кнопка нажимная
          • Основание для открытого монтажа
          • Переходник розетки мультистандартный
          • Рамка декоративная для электроустановочных устройств
        • Блок "Выключатель-розетка"
        • Блок розеток, удлинитель
        • Выключатели, переключатели
        • Датчик движения комплектный
        • Диммер
        • Переключатель кнопочный миниатюрный
        • Электропитание USB
        • Таймеры и реле
          • Назад
          • Таймеры и реле
          • Выключатель сумеречный (фотореле)
          • Реле времени механическое для электроустановочных устройств
          • Таймер электронный для электроустановочных устройств
        • Корпуса и монтажные коробки
          • Назад
          • Корпуса и монтажные коробки
          • Корпус накладной для открытого монтажа электроустановочных устройств
        • Вилки, розетки бытовые
          • Назад
          • Вилки, розетки бытовые
          • Вилка с защитным контактом бытовая SCHUKO
          • Розетка штепсельная
          • Розетка кабельная для удлинителя
          • Розетка с заземлением стандарта SCHUKO
        • Вставки, крышки
          • Назад
          • Вставки, крышки
          • Вставка/крышка для коммуникационных технологий
        • Адаптер переходный для электроустановочных устройств
        • Материалы монтажные для маркировки
        • Вилка/розетка без защитного контакта
        • Механизм датчика движения
    • Блог
    • Производители
    • Как купить
      • Назад
      • Как купить
      • Условия оплаты
      • Условия доставки
      • Возврат и обмен
    • Компания
      • Назад
      • Компания
      • Сотрудники
    • Контакты
    • Личный кабинет
    • Корзина0
    • Отложенные0
    • Сравнение товаров0
    • +7(499)300-99-03
    Контактная информация
    г. Москва, Саратовская улица 8/1
    info@vaxon.ru

    Блоки аварийного питания: назначение, разновидности и критерии выбора

    Главная
    —
    Статьи
    —Блоки аварийного питания: назначение, разновидности и критерии выбора
    25 декабря 2022 9:00

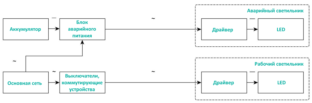
    Блок аварийного питанияБлок аварийного питания — компактное и в то же время мощное устройство, предназначенное для подачи напряжения на источники света и поддержания их бесперебойной работы даже при отключении от сети или перебоях с электроэнергией.

    Большую часть времени блок находится в «спящем» режиме и накапливает заряд, который выдает в аварийной ситуации. В этом случае питание на светильники подается от аккумулятора. И хотя большинство моделей рассчитано на работу длительностью 60-180 минут, можно найти блок с батареей увеличенной емкости.

    К преимуществам подобного решения относят:

    • простоту установки (монтаж и подключение не требуют специальных знаний или инструментов);
    • компактные размеры (блок может быть встроен в корпус светильника и скрыт от глаз);
    • широкий диапазон нагрузки и температуры (отдельные модели можно использовать для подключения к уличному освещению);
    • наличие автоматической защиты;
    • долгий срок службы.

    Область применения

    Особенно остро вопрос аварийного отключения электричества стоит перед:

    • медицинскими клиниками;
    • школами;
    • кинотеатрами;
    • торговыми центрами;
    • спортивными комплексами;
    • аэропортами и вокзалами;
    • производствами и промышленными объектами;
    • подземными парковками и другими местами с высокой проходимостью людей.

    В отдельных случаях прекращение работы можно привести к серьезным последствиям:

    • выбросу токсичных веществ и химикатов;
    • воспламенению или взрыву;
    • перебоям в работе систем водоснабжения и отопления и т. д.

    Разновидности

    На рынке представлено не так много блоков аварийного питания. Чаще всего их классифицируют по типу лампы: для галогенных или светодиодных светильников.

    Также можно выделить:

    1. Блоки, подключаемые к LED-модулю. Их устанавливают непосредственно внутри светильника – между модулем и драйвером. Поскольку они выдают до 10% от номинальной мощности, приходится подключать блок к каждому светильнику.

    Блоки аварийного питания

    1. Блоки, подключаемые к драйверу светильника. Они способны подавать напряжение в 220, а потому позволяют подключиться сразу к нескольким источникам света. Выдают такие блоки до 100% от номинальной мощности.

    Блок аварийного питания

    Критерии выбора

    При покупке блока специалисты рекомендуют учитывать следующие параметры:

    • режим работы (постоянный или подключаемый);
    • номинальная мощность (показатель должен превышать параметр суммарной нагрузки на 20 процентов);
    • длительность автономной работы;
    • степень защиты (IP);
    • наличие индикатора оставшегося заряда аккумулятора;
    • наличие возможности проведения тестирования.

    Важно! Продлить срок службы блока аварийного питания для светодиодных светильников можно за счет проведения полного цикла (разряжать в 0% и заряжать до 100%) и обеспечения защиты от короткого замыкания. Последняя достигается путем подключения устройства к автоматическому выключателю тока и УЗО.

    Почему стоит купить блок аварийного питания в интернет-магазине Vaxon

    Интернет-магазин Vaxon предлагает заказать светодиодный аварийный блок питания от ведущих производителей. Мы гарантируем высокое качество каждого изделия и тщательно проверяем продукцию перед отправкой.

    Также наши клиенты могут рассчитывать на широкий ассортимент, доступные цены и оперативную обработку и выполнение заказов. Мы доставляем товары по Москве и всей России. Если вам необходима помощь в выборе подходящей модели обращайтесь к нам за помощью.

    Чтобы оформить заказ или уточнить наличие блока аварийного питания LED на складе, позвоните по телефону +7 (499) 300-99-03. Менеджер ответит на все возникшие вопросы и согласует удобное время доставки.

    Товары
    Назад к списку
    • Советы покупателям 32
    Будьте в курсе наших акций и новостей
    Подписаться
    Ваш менеджер
    Дмитрий Васияров
    +7 (977) 820-99-03
    Задать вопрос
    Статьи
    31 января 2023
    Снабберная защита: что это и где применяется
    30 января 2023
    Реле коммутационное: виды, назначение и принцип работы
    25 декабря 2022
    Блоки аварийного питания: назначение, разновидности и критерии выбора
    О компании
    Как купить
    Производители
    Блог
    Контакты
    +7(499)300-99-03
    +7(499)300-99-03
    info@vaxon.ru
    г. Москва, Саратовская улица 8/1
    Подписаться на рассылку
    Политика конфиденциальности
    © 2020—2026, ООО ВАКСОН
    Разработка сайта - ITConstruct
    - SEO продвижение сайта